|
电平控制探头可以精确产生所需要的信号功率,可用于频谱仪、接收机等仪器的计量,也可以用于精确的系统增益评估等应用。传统的校准解决方案都是采用外置功分器并外接功率计的方式来实现精确功率的产生。 一、精确控制输出功率的传统解决方案 信号源的真实输出功率总会随着时间、频率有微小的变化,要使到达被测件的功率尽可能精确,就需要实时地对输出功率进行监控和调节,传统的功率探头无法单独完成这样的工作,必须外接功分器来实现,如图1所示,其中UUT为被测单元,如接收机、频谱仪或者需要精准功率的射频微波模块。
图1. 外接功分器的解决方案 这种方法可以在调节信号源输出功率的同时,监控到达UUT的输入功率,但是由于外接功分器的驻波特性的不理想,对信号源输出信号的不确定度有影响,对UUT端口的实际功率无法精确的控制。 为了精确的控制到达被测单元的功率值,必须在UUT处放置另一台功率计或功率探头来保证精度。测试配置如图2所示。信号源输出经过功分器,在一个端口用探头A监测,另一个端口UUT接收,但需要另一个探头B来保证精度,信号电平精度得到了保证,但是配置和测试过程复杂,成本高。
图2. 实时监控UUT输入功率值的测试配置 二、NRP系列功率探头的优势 传统的功率测量必须具备功率计主机以及不同频率和功率测试范围的功率探头,才能完成测试,在测试前还需要用一个0dBm的校准信号进行功率计校准。 R&S NRP系列功率探头采用了全新的智能功率测量技术,探头本身就是一台功率计,探头后面的连接线仅用来传输测试数据,实现了功率测量和数据处理的一体化,测量前只需在探头空载时进行清零操作,便可开始精确的功率测量,可以测量平均功率、时隙功率、突发功率等,如果采用NRP-Z81峰值探头,还可以实现峰值功率测量,可测量的最小脉冲分辨率达到了12.5ns,最大带宽为30MHz。 先进的技术使得NRP系列功率探头的应用更为方便灵活,典型应用方式为以下三种: a) 可以直接连接功率计主机,得到功率测试结果; b) 通过USB接口与PC相连,使用软件NRPview或编程实现功率测量; c) 连接R&S 公司的信号源、频谱仪、矢网、接收机等仪器,实现功率测量。 三、R&S 电平控制探头的解决方案及应用 R&S NRP-Z28(频率范围10MHz~18GHz)、NRP-Z98(频率范围9kHz~6GHz)系列电平控制探头,包括了一个低反射系数的功分器,和一个多通道的二极管功率探头,探头结构及其工作原理可参见图3, 射频输入信号经过功分器,一路输出到射频输出,另一路到内置的功率探头内,实现精确的功率测量,然后测试数据通过USB接口输出。 R&S NRP-Z28/Z98系列探头把功分器和功率探头很好地结合在一起,减少了外部功分器的连接不便与不确定性因素。同时,由于NRP系列探头的测量与数据处理一体化优势,可以直接将探头USB输出连接到SMU200A/SMJ/SMATE/SMA/SMB/SMF等R&S公司的数字、射频、微波信号源上。可直接在信号源界面上完成电平的精确测量和调整,确保到达被测单元的功率值的精确性。
图3. R&S NRP-Z28/Z98 的结构及其工作原理 在图4中可以看到,而如果没有NRP-Z28/Z98的修正,信号源输出功率随着频率变化可能有零点几dB的偏差(蓝色曲线),该偏差由于信号源频率响应或端口驻波的影响而产生,无法满足精确测量的要求,而采用电平控制探头可以精确的对信号源频响和端口驻波的影响进行补偿,图中上面的粉红色曲线是经过NRP-Z28/Z98修正后的电平输出(粉红色曲线)非常精确稳定。
图4. 带电平修正和不带电平修正的差别 NRP-Z28/Z98与信号源有两种连接方式,在图5中,左边是带功率计主机的方式,右边是直接连接信号源的方式,第二种连接更为简单方便,可以直接在信号源的屏幕上进行精确的电平调节,操作界面如图6所示。 图5. 两种电平控制探头的连接方法 图6. 在信号源SMU界面直接进行功率的测量与调节 四、保证测试准确度 由于反射系数的影响,会引入测量的不确定度,NRP系列探头可以把反射系数考虑进去,对结果进行伽马(:)修正,NRP-Z28/Z98探头与UUT之间的失配不确定度可以进一步减小。反射系数:对测试结果有影响,有反射存在时,功率计测量的功率值与发射功率并不相等,此时存在反射功率P。
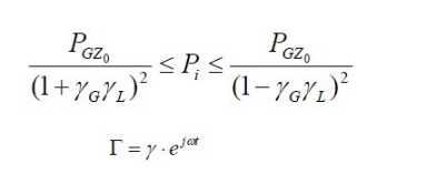
图7. 反射系数:对测量结果的影响 : 描述复数阻抗输入端反射波的幅度和相位。负载端的反射系数用:L描述,信号源端的反射系数用:G描述,则入射功率Pi与发射功率PGZ0之间的关系如下,
用描述反射系数的幅度,这样入射功率与信号源发射功率之间满足如下关系式,该关系式就代表了输入功率的不确定度。
如果要对反射特性进行修正,则必须知道源和负载的反射系数,探头端的反射系数由探头自身给出,信号源的反射系数可以用矢量网络分析仪测量S11参数得到,伽马修正的实现原理如图8所示。
图8. NRP功率计伽马修正的实现 如果在NRP-Z28/Z98探头与UUT之间还存在转接头、衰减器或其它连接电缆等二端口网络,还可以用去嵌入方式实现S参数修正,其修正原理如图9所示,该二端口网络的4个S参数可以用矢量网络分析仪测量得到一个S2P文件来描述,再通过USB接口把S2P文件下载到探头中,完成测试结果的S参数修正。
图9. NRP功率计S参数修正的实现 与普通的NRP终端式功率探头类似,NRP-Z28/Z98系列电平控制探头的S参数修正的实现如图10所示。通过把二端口网络的四个S参数存储在S2P文件里,再通过USB接口下载到探头内即可自动完成修正,可以实现更精确的功率调节与测量,减小了测量不确定度。
图10. NRP-Z28/98探头S参数修正的实现 参考文献: 1. R&S®NRP-Z28/Z98 Level Control Sensor Technical InformaTIon, ROHDE & SCHWARZ. 2. R&S®NRP-Z28/Z98 Level Control Sensor User Manual, ROHDE & SCHWARZ. 3. Program for Measurement Uncertainty Analysis with Rohde & Schwarz Power Meters. ApplicaTIon Notes, 1GP43, ROHDE & SCHWARZ. (责任编辑:admin) |










