|
本文对IGBT芯片的电热性能进行了广泛的研究,用于IGBT芯片中的3D封装结构。 在过去的几年里,半导体技术取得了长足的进步,特别是在电力电子领域,在研究和重工业应用中的应用。绝缘栅双极晶体管(IGBT)模块在高工作温度、快速开关速度、更高可靠性等应用中发挥着至关重要的作用。在这种情况下,获得精确的结果至关重要,因为如果计算不正确,电路甚至操作电路的用户可能会产生多种危险结果。 功率模块的磁热分析 所进行的实验提出了一种模拟,其中,在电路操作期间测试了IGBT的电气,热和磁特性。
图1:所提出的EM-电热分析方法的示意图。 芯片表面(集电极、发射器和栅极)与模块外部端子之间的寄生特性由该电磁网络表示。电热IGBT芯片模型是在电路中构建的,使用实验测试结果或数据手册的曲线拟合和加权插值来表示工作点条件的依赖性。该电热模型充当热网络和EM网络之间的重要链接,必须接受来自每个芯片的Tj信息并将功率损耗值返回给前者,接受现有信息并将芯片导通状态压降(Vce(on))值恢复到后者。
图2:1700V/450A半桥IGBT功率模块布局。 包括外部端子和芯片表面之间的频率相关电阻和电感值的数据,例如从模块的DC+电源端子到高端开关IGBT芯片的集电极表面,如图2所示。 所提模型的提取 直到最近,对功率模块的电气和热特性之间的自洽相互作用的研究一直是一个令人兴奋的话题,因为它包括可用于使用ROM方法克服多个障碍的技术。 在进行测试时,考虑了所有热特性以及底部完整冷却边界的假设,以进一步简化和提高效率。此外,在底部过程的模拟过程中,底板温度设置为90 。
图3:仅对U5施加功率损耗时的温度分布 如上所示,图3描述了整个封装结构的热行为,记录了该结构以研究精确的电热耦合。
图4:Icepack SVM、辛普勒热网络和实验试验结果对比 图4显示了提取过程的有效性,以证明其与不同结果的比较。例如,在Icepak FVM仿真,Simplorer热网络仿真和实验测试结果之间进行了比较,以检查低边开关的热阻。具有热网络拓扑的图形显示了与标准FVM仿真相同的仿真结果。IGBT的均流特性取决于模块封装中寄生元件的频率,其中还包括传导路径的电阻和电感。在应用过程中,IGBT模块应用中从外部母线端子到芯片表面的每条传导路径都可能对电流在芯片之间的分布方式以及每个芯片的自身开关方式产生影响。这使得模块表征从所有外部端子到每个芯片表面的寄生值非常重要。 模拟和结果 一旦IGBT芯片模型的提取过程完成,就会考虑热和电磁网络的仿真及其分析表示,以研究它们在斩波电路中的模块性能。在这种斩波器电路中,当IGBT模块在高频下工作时,设置一个900V直流电源,负载并联到三个IGBT开关和三个FRD芯片的高边开关 解析解:在斩波电路中,考虑功率损耗的均流和温度依赖性非常重要,因此可以在分析解中查看损耗。 psw,IGBT = (Eon + Eoff) ⋅ fsw 由上式可知,Eon和Eoff是IGBT芯片在设定的90°C时的开启和关闭,fsw是开关频率。 电热仿真: 如下图所示,在获得仿真输出时,在电气仿真上方增加了一个热网络。通过将电热芯片模型的热引脚链接到热网络,可以动态更新芯片的温度敏感电特性,例如损耗能量和Vce(on)值。这样就可以将电路仿真计算出的功率损耗输入热网络。
图5:电热仿真拓扑 电磁-电热仿真 如上所示,应始终检查显示阻抗和寄生元件不同不平衡的热网络和电磁网络,以确保平稳运行。在电磁电热分析中还使用了具有零维设置的网络。
图6:电磁电热仿真拓扑。 在图6中,EM和热网络集成在仿真电路中。使用EM网络,IGBT芯片电热模型在工作期间嵌入到应用电路中。
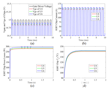
图7:仿真结果(a)芯片的栅极驱动器电压和Vge(b)IGBT芯片电流值(c)IGBT芯片平均总功率损耗(d)IGBT芯片Tj变化。 图7显示了不同条件和温度下的仿真输出,以便进一步了解IGBT及其性能。图中的IGBT芯片U6图11 (a)由于靠近模块封装的栅极控制端子,因此具有最高的Vge值,图7(b)显示了三个并联芯片之间的电流分布。如图所示。如图11所示,芯片U6描述了最高平均总功率损耗(c)和图。如图7所示,Tj随时间的变化(d)。如果IGBT中存在温度不稳定,则可能会出现各种长期问题,这些问题可能会增加功率损耗和热应力。 四、结语 研究了具有EM-电热耦合的IGBT半导体功率模块的行为,以及均流特性和热特性。所进行的仿真结果完全符合预测,使其在各种物理和电子领域进一步扩展。通过获得的结果,可以说揭示IGBT功率模块封装对芯片电热行为的影响的机会更高。随着对该主题的更广泛研究,此类系统甚至可以部署在复杂的设备中并具有增强的可靠性。 |








