|
差分放大电路的分析一直是大家的弱项,很大一部分原因是差放的电路不仅是元器件的数量还是需要求解的技术指标,都至少是之前学过的基本放大电路的两倍。甚至连输入信号都变成两个,分析时还看成四个。是不是有要裂开的感觉。 今天我们不着急解题,而是先从差分信号和差放电路的来源讲起,只有了解它、试着喜欢上它,才能更好地求解和分析它 来源 差分信号 放大器中输入信号一般需要两根线,一根是信号线,一根是地线,我们在实验室中用函数信号发生器就是这样操作的。这种信号在传输过程中,尤其是远距离传输过程,不可避免会受到外界电场的干扰,这些干扰信号和实际传输信号都会同时被放大器放大,使得输出端提取信号非常困难。 科学家们想出了一个办法,就是将单端信号改成差分信号(Differential Signal),也就是把输入端的两根线,一根作为正信号线,另一根作为负信号线,这两根线上的信号幅度相同,相位相反。 定义1:两根信号线之间的差值信号称为差模信号(Differential Mode Signal),用vd表示
在传输过程中,我们将两根信号线用双绞线的形式紧密缠绕在一起,在信号传输过程中,我们相信两根线受到的干扰是相同的,那么此时,差分信号就是待测的有用信号,两根线上幅度相同,方向也相同的信号就是干扰信号。 定义2:两根信号中共有的信号称为共模信号(Common Mode Signal),用vc表示 含有差模和共模的差分信号可以表示为:
从中,可以得到以下表达式:
可知,共模信号实际上是两个信号的平均值
引入差分信号的形式,实际上希望放大器能对这两类信号差别对待,希望能放大有用的差模信号,而抑制我们不需要的共模干扰信号。 而完全对称的差分放大器就是为了实现这个目的而设计的。用双倍的元件换取对共模信号的抑制。
差分放大电路中最巧妙的地方 要说差放中最巧妙的地方就是两管公共射极的电阻REE(如果是恒流源式差放,那就是恒流源的交流等效电阻ro)
由于REE对差模信号和共模信号的不同表现,这才实现了差放对差模信号放大,对共模信号抑制的"伟大使命"ฅʕ•̫͡•ʔฅ~ 而也正是由于这样的使命,差模分析是为了表征放大器的性能,而共模分析则是为了表征对干扰的抑制能力。 静态 差分放大电路 长尾式差放的静态工作点突破口在完全对称的输入回路
带恒流源的差分放大电路的突破口是恒流源的输出电流
如果恒流源的输出电流没有提供,则需要先求出这个电流 动态 差分放大电路 由于差放电路两边完全对称,因此分析差放的关键就是如何分别在差模输入和共模输入时,画出半电路的交流通路,进而确定其各项性能指标 画半电路交流通路的关键在于对公共元件REE和负载RL的处理,具体如下:
差分放大电路有四种输入输出方式,但性能特点只跟输出方式有关,跟输入方式无关,于是可分两大类进行比较,下表以带恒流源的电路为例,长尾式式可以将ro用REE替换即可。
理论已经介绍完,接下来上例题喽 分层例题推送时间 基础篇为小学分模电的难度,进阶篇是3.5学分模电的难度,提优篇是考研试卷难度 01基础篇 例1:差分放大电路如下图所示,已知两管的参数为:β=60,VBE=0.7V,rbb'忽略不计。 (1)求静态工作点ICQ1、ICQ2、VCEQ1和VCEQ2 (2)求差模输入电阻和差模输出电阻,差模增益和共模抑制比 (3)若输入信号的有效值VI1=100mV,VI2=50mV,求输出电压的有效值
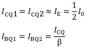
解: THE ANSWER (1)静态分析:直流通路如下
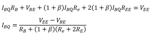
由红色的输入回路得:
忽略RB1上的电压, VCEQ1=VCC-(-VBE)=15.7V
于是: VCEQ2=VC2-(-VBE)=5.8V (2) 差模输入下的半电路如下:
于是可以得到相应的差模性能指标:
共模输入下的半个电路如下:
从而得到共模抑制比:
(3)
02进阶篇 例2:电路如下图所示,已知各管的β值均为50,VBE=0.7,rbb'都是200欧姆。
(3)若R1增大,差模增益和差模输入电阻将如何变化? 解: THE ANSWER 由于是双端输出,共模增益为零,所以
恒流源在差模分析中等效短路,于是差模的半个电路为:
三极管小信号模型中的rbe需要差放静态电流,所以先得得到恒流源的直流输出电流:
从而得到三极管的输入电阻
于是差模增益为:
从而得到输出电压信号:
(2)电路既有直流小信号输入,又有交流小信号输入,需要分开计算
因此,输出电压为vo1和vo2的叠加,波形图如下:
(3)R1电阻阻值的变化会引起恒流源输出电流的变化,从而影响了三极管的输入电阻rbe,进而影响差模的性能指标。
插入一个抢答题 如果(1)中输入信号vi2正弦波的幅度值改为1V,那么大家猜一猜输出电压会是什么波形呢?留言区说出你们的想法吧 03提优篇 单级差放的知识点并不多,也考不到多难的题目,在期末或是研究生试卷中更多会是以综合题的形式出现,比如多级放大电路,例题可以参考“考题精讲|多级放大电路的动态分析”中的进阶篇和提优篇。 还有就是跟负反馈结合,分析负反馈的类型和负反馈的引入,以及负反馈的近似计算。这可以到链接“放大电路中的负反馈引入”。 这里举一道浙大的期末考试题,是差放和功放级联的综合题 例3:
解: THE ANSWER (1)【由于是阻容耦合,两级的静态工作点互相独立,将第二级断开后,第一级的静态分析和例1完全一样】
(2)【第一级差放的负载是第二级的输入电阻,已知条件中已经给定第二级的输入电阻为3kΩ,要注意差放是从T2管子输出,所以差模增益是半个电路增益的负二分之一】差模的半个电路如下:
(3)【第二级是甲乙类功率放大器,功放管需要一对完全对称的NPN管和PNP管,这里用复合管实现】
(4)【甲乙类功放的工作原理可以链接“甲乙类功率放大器的分析”】 出现交越失真,说明T3、T4基极间的电压不足,所以可以调大R2的阻值 (5)【第二级是一个双电源供电的甲乙类功放,输出功率和效率的公式可以参考“乙类功率放大器的分析”】
五一小长假已经结束,小伙伴们该开始回归学习喽,题目只有动手做才有感觉哦 审核编辑:汤梓红 (责任编辑:admin) |











































