|
之前我们设计过一个10倍放大倍率的电路,如下所示,其实并不完美,可以看得到有近10V的压降落在了Q1三极管上,此时的功耗接近10V*1mA = 10mW,功耗偏大,这个可以优化,这里先不进行优化,先用这个电路来分析一下,放大电路的主要性能参数。
输入阻抗 输入阻抗其实为R1和R2的并联电阻,约为24.9Ω。 我们可以通过在输入端串联一个电阻为24.9Ω的电阻来看输入信号是不是减小了一半,仿真如下,符合预期。
2. 输出阻抗 输出阻抗为R3本身,我们可以在输出端串联一个和R3阻值一样的电阻,看到输出的电压从±10V下降到了±5V。
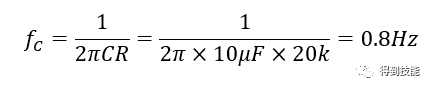
所以可以这样看待晶体管:有输入信号控制的电流源,理想电流源(内部阻抗无穷大)串联了一个电阻R3,负载变化电流不会变化。 3. 放大倍数和频率的关系 放大倍数和频率相关,可以看到当频率大于0.3Hz之后才有放大作用,3dB点在大约0.38Hz,只有大于10Hz之后才是放大10倍和反向的输出。 为什么仿真到10GHz还可以保持这么好的特性呢? 高通滤波器的截止频率点为
仿真和计算结果不吻合,还不清楚什么原因。
4. 高频截止频率 上图仿真中没有看到高频截止的问题,有点奇怪?
5. 噪声电压特性
|







