滞回比较器从输出引一个电阻分压支路到同相输入端。当输入电压vI从零逐渐增大,且VI小于VT时,比较器输出为正饱和电压,VT称为上限阀值(触发)电平。当输入电压VI》VT’时,比较器输出为负饱和电压,VT’称为下限阀值(触发)电平。
方波发生器电路如下图1a所示。它由滞回比较器和具有延时作用的RC反馈网络组成。

图1 方波发生器
a)电路图 b)波形图
输出端接限幅电路的滞回比较器的输出电压uo=±(UZ+UD)≈±UZ。
当电源接通,t=0时刻, uc=0,设uo1=+UZ,u+为

输出电压uo=UZ,C充电, uc按指数规律上升。uc= Uth1时,电路状态发生翻转, uo1突变为uo2=-UZ。此时, u+突变为

此时,uc放电而下降,如图1 b曲线②,放电完毕后电容反向充电,当uc= u-=Uth2,电路发生翻转,uo=+UZ。电容反向放电,当放电完毕进行正向充电,当uc=Uth1时,电路又发生翻转,输出由+UZ突变为-UZ 。如此反复,在输出端即产生方波波形。波形如图1b所示。

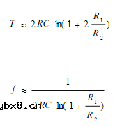
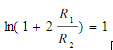
适当选取R1、R2值,使


投影机类型
时间:2026-03-06
投影机技术类型及规格
时间:2026-03-06
投影机的ANSI流明
时间:2026-03-06
投影机ISO流明
时间:2026-03-06
投影机的标准分辨率
时间:2026-03-06
投影机的最大分辨率
时间:2026-03-06
投影机的投影技术
时间:2026-03-06
投影机的对比度
时间:2026-03-06
投影机的投影镜头
时间:2026-03-06
光投影机的亮度均匀值
时间:2026-03-06
玻璃釉电容器的结构与特点
时间:2026-03-05
关于STM32WL LSE 添加反馈电阻后无法起振的...
时间:2026-03-05
电阻的标称阻值和允许偏差
时间:2026-03-05
使用过滤器电容器和诱导器来抑制受辐射的EM...
时间:2026-03-05
如何区分电容的正负极
时间:2026-03-05
瓷片电容的意义以及电容抗扰电路设计与分析
时间:2026-03-05
电容电感区别在哪里?特性差异是什么?可编...
时间:2026-03-05
浅谈高压贴片电容分类与性能参数
时间:2026-03-05
聚四氟乙烯电容器的结构与特点
时间:2026-03-05
漆膜电容器的结构与特点
时间:2026-03-05