当前位置:首页 > 电子元件 > 正文

半导体三极管的技术参数

来源:网络  发布者:电工基础  发布时间:2026-03-07 16:23
半导体三极管的技术参数 半导体三极管除了特性曲线可以表示其特性外,还要用一些技术参数,而且两者可以互相补充,以利于合理地选用半导体三极管。在半导体三极管手册中可以看到以下一些常用的主要技术参数。
半导体三极管的技术参数

半导体三极管除了特性曲线可以表示其特性外,还要用一些技术参数,而且两者可以互相补充,以利于合理地选用半导体三极管。在半导体三极管手册中可以看到以下一些常用的主要技术参数。

1.共发射极电流放大系数β
在共发射极电路中,在一定的集电极电压UCE下,集电极电流变化量△IC与基极电流变化量△IB,的比值称为电流放大系数β,即

半导体三极管的技术参数

由于β反映了变化量之比,在放大电路中变化量实际上是交流信号,因此把β值称为共发射极交流电流放大系数hFE 。有时手册中会给出直流电流放大系数hFE , 它是集电极直流电流IC与基极直流电流IB之比,即

半导体三极管的技术参数

β值的标志方法有两种,即色标法和字母法。色标法使用得较早,通常将颜色涂在三极管的顶部,用不同的颜色来表示管子β值的大小。国产小功率管色标颜色与β值的对应关系如表15-3 所示。

半导体三极管的技术参数

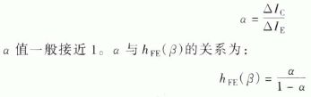
2. 共基极电流放大系数α
在共基极电路中,在一定的集电极与基极电压UCB下,集电极电流的变化量△IC与发射极电流变化量△IE的比值称为电流放大系数α ,即

半导体三极管的技术参数

3. 半导体三极管的频率特性参数
半导体三极管用于交流放大时,电流放大系数与频率有关。当三极管工作频率较低时,hFE值变化不大,但三极管用于高频电路时,电流放大系数将会随着工作频率的升高而不断减小,这时就需要考虑频率特性参数了。频率特性参数主要有以下几个。

( 1 )共基极截止频率fa
共基极截止频率又叫α 截止频率。在共基极电路中,电流放大系数α 值在工作频率较低时基本上为一常数。当工作频率f>fa以后,电流放大系数α 随频率的升高而下降,当α值下降到αo(共基极放大器最低频率时的电流放大系数)的

半导体三极管的技术参数

时所对应的频率便是fa 。

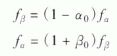
(2) 共发射极截止频率fβ
共发射极截止频率又称β截止频率。它与fa的定义相似,在共发射极电路里,电流放大系数β值在降低到βo的

半导体三极管的技术参数

时所对应的频率便是fβ,如图15-7 所示。fβ和fa有下列关系:

半导体三极管的技术参数

在实际工作中,工作频率f 等于fa或fβ时,并不等于半导体三极管就截止不工作了,它仍有相当的工作能力。其规律是f=fa或f=fβ时, α= 0.707αo或β= 0.707βo;当f=fa或f=fβ时, α= 0.5αo或β= 0.5βo。但在电路设计中选用三极管时,若电路的工作频率较高,应尽量选用fa 或fβ值大的三极管。

(3)特征频率fT
当工作频率超过截止频率fβ以后,β值开始下降,当β值下降为1时,所对应的频率叫做特征频率fT如图15-7 所示。

当工作频率f =fT时,半导体三极管就完全失去了电流放大功能。由于f·β=常数,有时称fT为增益带宽乘积。例如:在频率为5MHz 时,测得某三极管的β值为6 ,则该三极管的特征频率fT为

半导体三极管的技术参数

 

(4) 最高振荡频率fM
最高振荡频率的定义为:当半导体三极管的功率增益等于1时的频率称为半导体三极管的最高振荡频率fM。当工作频率大于fM时,三极管不能得到功率放大;当工作频率低于fM时,三极管可获得功率放大。可见fM 是半导体三极管的一个重要参数。在一般情况下,要使三极管工作稳定,又有一定的功放作用,三极管的实际工作频率应为(1/3 - 1/4)fM 。

4 半导体三极管极间的反向电流
半导体三极管极间的反向电流指的是集电极一基极间反向电流ICBO 和集电极一发射极间反向电流ICEO。ICEO使用得较多,它是指三极管基极开路时,集电极C和发射极E之间的反向电流,又称为穿透电流或反向击穿电流。小功率错三极管的ICEO 较大,通常在500μA 以下,硅三极管的ICEO都很小,通常在1μA 以下,同一个三极管的ICEO比ICBO大得多,且随温度的升高而急剧增加,因此这个参数是衡量三极管稳定性好坏的重要参数之一。

5. 半导体三极管的极限参数
各种电子元器件都有一个使用极限值要求,对于半导体三极管来讲,它的主要极限参数有以下几个。
(1)集电极最大允许电流ICM
半导体三极管允许通过的最大电流即为ICM 。当集电极电流IC增大到一定程度时,β值便会明显下降,这时三极管不至于烧坏,但已不宜使用。因此,规定β值下降到额定值的2/3 时所对应的集电极电流为集电极最大电流ICM。

(2) 集电极最大允许耗散功率PCM
集电极耗散功率实际上是集电极电流IC和集电极电压UCE的乘积。在使用三极管时,实际功耗不允许超过PCM还应留有较大的余量。耗散功率会引起三极管发热,使结温升高。如果集电极的耗散功率过大,将会使集电结的温度超过允许值而被烧坏。为了提高PCM的数值,大功率三极管都要求加装散热片,此时手册中给出的大功率三极管的PCM是指带有散热片时的数值。

(3)集电极一发射极反向击穿电压BVCEO ( VCEO )
BVCEO是指三极管基极开路时,加在集电极C 和发射极E 之间的最大允许电压。使用时,若|VCE| > BVCEO。则会导致三极管击穿而损坏。
(4) 集电极一基极反向击穿电压BVCBO ( VCBO )
BVCBO是指三极管发射极开路时,集电结的反向最大电压。使用时,集电极与基极间的反向电压不允许超过此值的规定。
(5) 发射极基极反向击穿电压BVCEO( VCEO)
BVEBO是指三极管集电极开路时,发射结的反向最大电压。使用时,发射结承受的反向电压不应超过此值的规定.

最新文章
无线遥控器电路图制作无线遥控器电路图制作

时间:2026-03-07

无线电遥控门铃电路原理图无线电遥控门铃电路原理图

时间:2026-03-07

NE555过流保护检测器电路图NE555过流保护检测器电路图

时间:2026-03-07

串联谐振升压原理串联谐振升压原理

时间:2026-03-07

谐振回路的工作原理谐振回路的工作原理

时间:2026-03-07

电容降压电路原理电容降压电路原理

时间:2026-03-07

实用的电容降压电路实用的电容降压电路

时间:2026-03-07

低成本的阻容降压电路原理图分析低成本的阻容降压电路原理图分析

时间:2026-03-07

阻容降压原理及电路阻容降压原理及电路

时间:2026-03-07

阻容降压电路的误区阻容降压电路的误区

时间:2026-03-07