|
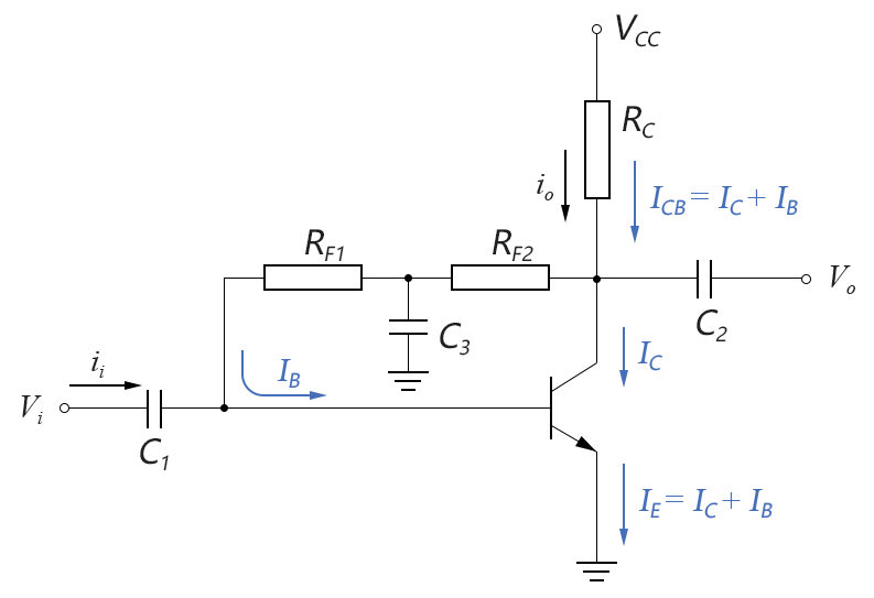
我们在前面的BJT直流分析章节,还讲过一种“集电极反馈偏置”电路,它也是共射放大电路的一种。这种电路在集电极和基级之间增加了一个反馈电阻,分析难度有所增加,故这里单独用一小节进行分析。 1. 基本分析 下面是一个基本的集电极反馈电路:
图4-08.01 将上图中的BJT晶体管替换成re等效模型后的交流等效电路如下图所示:
图4-08.02 上图中,为分析简便起见,我们暂不考虑输出电阻ro的影响。(如果你想挑战一下自己是否已经掌握了前文关于考虑ro时的演算方法,可在阅读完本节集电极反馈电路的基本分析方法后,自己尝试推算一下考虑ro时的各个交流参数。) ● 输入阻抗: 由于电路中的增加了RF,电路的拓扑形状变成了π型电路,一般电路中如果出现了π型或T型的形状,分析起来就会比较麻烦。虽然硬用KVL和KCL方程去计算也可以,但更好的方法是先对其做一些近似,然后可以极大地简化计算。我们先来看反馈电流If与各个电流的关系:
通常流过反馈电阻RF的电流If远小于βIb,故我们可以做如下近似:
利用这个近似我们可以得到Vo与Vi的表达式:
消去Ib后可得Vo与Vi的关系式:
将这个Vo与Vi代入上面If的表达式可得:
接着我们将这个If代入下式可得:
将上式归并整理一下即可得到输入电阻Zi:
一般RC远大于re,则1+RC/re≈RC/re,因此上式可近似为:
● 输出阻抗: 输出阻抗为将Vi置0(短路)后,由输出端看入的电阻。从图上容易看出,Vi短接后βre被短路,Ib为0,则受控电流源相当于开路,因此输出阻抗为:
● 电压放大倍数: 前面我们在计算输入阻抗Zi时,已近似得到输出电压Vo和输入电压Vi的表达式分别为:
则电压放大倍数Av为:
上式中的负号表明,输出电压和输入电压的反向,或者称:输出信号和输入信号之间存在180°的相移。 2. 增加反馈旁路电容 同射极偏置一样,我们也可以对集电极反馈电路添加旁路电容,以使交直流通路不同,在不影响直流静态工作点的情况下,调节电压放大倍数等交流参数。如下图所示:
图4-08.03 上图中,电容C3的交流短路特性,使得在交流通路中,反馈电阻的RF1被转移到输入端而RF2被转移到输出端,其代入re模型后的交流等效电路如下图所示:
图4-08.04 由于这个电路中不含射极电阻RE,即便加上ro后,也不会使电路的计算复杂度增加,所以我们在图中画上了ro的影响。 ● 输入阻抗: 输入阻抗Zi可以直接从图上观察得到:
● 输出阻抗: 输出阻抗Zo也可以直接从图上观察得到:
● 电压放大倍数: 先列写出输出电压Vo与输入电压Vi的表达式:
因此电压放大倍数Av为:
当ro≥10RC式,上式可近似为:
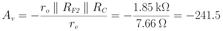
案例4-8-1:对于下图的集电极反馈电路,使用re等效模型试求:(1)re的值;(2)输入阻抗Zi;(3)输出阻抗Zo;(4)电压放大倍数Av。
图4-08.a1 解:(1)re的值由流过三极管发射结的静态工作电流(即IE)决定:
(2)输入阻抗Zi为:
(3)输出阻抗Zo为:
(4)电压放大倍数Av为:
|



























