|
共集放大电路的公共端为集电极,输出信号Vo从射极取出。且由于共集放大电路的电压放大倍数Av近似于1(即输出电压等于输入电压),因此常被称作射极跟随器(emitter-follower)。由于共集放大电路和共射放大电路的形式非常类似,仅仅是从不同的极取出输出信号,因此也有:固定偏置、分压偏置等不同形式的电路。 射极跟随器的作用主要是用于阻抗匹配(impedance-matching)。它的输入阻抗非常高、且输出阻抗很低(与固定偏置共射放大电路的特点正好相反),因而可以在多级放大电路中,作为中继来使用,使得电路达到比较理想的输入输出效果。 1. 固定偏置 典型的固定偏置的射极跟随器电路如下图所示:
图4-07.01 将上图中的BJT晶体管替换成re等效模型后的交流等效电路如下图所示(注意下图中的所有电量符号都变成了交流的相量形式):
图4-07.02 和前面分析共射放大电路时类似,为分析简便起见,我们暂不考虑输出电阻ro的影响。(前面我们在共射放大电路的分析中已经演示过如何考虑ro的影响进行计算了,如果你完全掌握了那个推算方法,这里关于ro的影响就可以完全自己推啦。) ● 输入阻抗: 输入阻抗的计算方法和前面射极偏置电路的计算方法相同:先求出不含RB时,直接从BJT输入端看入的“仅BJT的输入阻抗”Zb,然后再用Zb和RB并联得到。 对BJT的输入端列写KVL方程可得:
则从BJT输入端看入的等效电阻Zb为:
通常RE为kΩ级,远大于几个欧姆级的re,如果需要的话,上式可进一步近似为:
算出Zb后,输入阻抗为RB和Zb的并联:
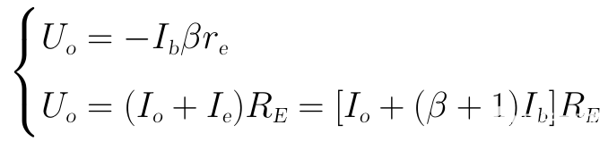
● 输出阻抗: 我们下面采用标准方法计算输出阻抗Zo:首先将输入端Vi短接,然后在输出端施加一个Uo的外电源,通过计算Uo/Io来计算Zo,由于上面的图4-07.02仅是用来说明用re模型替换成等效电路的概念的,直接用它来对电路求解显得有点怪异,为方便列方程计算,我们将其变一下形,如下图所示:
图4-07.03 上图可以通过对3个KVL回路列方程求解。但是由于此图结构比较简单,我们直接使用观察法来求解:观察上图,我们可以得到关于Uo的两个计算式:
从上面两个等式我们可以得到Ib和Io的关系式:
将上式代入前面的任何一个Uo表达式,可得:
由于β≈β+1,我们在上式分子分母同除β可得:
通常由于RE≫re,故上式可近似为:
● 电压放大倍数: 我们先分别列写出Vo和Vi的表达式:
然后将他们相比即可得到电压放大倍数Av:
考虑到β≈β+1,上式可近似为:
由于re一般为几个欧姆,而RE一般在kΩ级,所以射极跟随器的电压放大倍数Av一般都略小于1。 这里电压放大倍数Av符号为正,说明输入信号Vi和输出信号Vo是同相的。 2. 分压偏置 分压偏置的射极跟随器电路如下图所示:
图4-07.04 与固定偏置相比,分压偏置的射极跟随器的静态工作点更加稳定。交流分析方法和上面几乎完全相同,结果也大致相同,仅是输入阻抗计算时的RB换成了:RB1∥RB2。 另外,还可以通过为射极跟随器添加集电极电阻RC,加入RC仅仅用于调整输出端的静态工作点,不会影响输入阻抗、输出阻抗和电压放大系数的计算公式,其电路如下图所示:
图4-07.05 下面我们通过一个实际计算案例,看看射极跟随器的输入和输出阻抗是不是真的有那么理想。 案例4-7-1:对于下图的射极跟随器,使用re等效模型试求:(1)re的值;(2)输入阻抗Zi;(3)输出阻抗Zo;(4)电压放大倍数Av。
图4-07.a1 解:(1)re的值由流过三极管发射结的静态工作电流(即IE)决定:
(2)输入阻抗Zi为Zb和RB的并联:
(3)输出阻抗Zo为:
(4)电压放大倍数Av为:
|

























