变压器的基本结构部件是铁心和绕组,由它们组成变压器的器身。为了改善散热条件,大、中容量变压器的器身浸入盛满变压器油的封闭油箱中,各绕组与外电路的连接则经绝缘套管引出。为了使变压器安全可靠地运行,还设有储油柜、气体继电器和安全气道等附件。

(一)铁心
铁心既作为变压器的磁路;又作为变压器的机械骨架。为了提高导磁性能、减少交变磁通在铁心中引起的损耗,变压器的铁心都采用厚度为0.35-0.5mm的电工钢片叠装而成。电工钢片的两面涂有绝缘层,起绝缘作用。大容量变压器多采用高磁导率、低损耗的冷轧电工钢片。电力变压器的铁心一般都采用心式结构,其铁心可分为铁心柱(有绕组的部分)和铁轭(联接两个铁心柱的部分)两部分。绕组套装在铁心柱上,铁轭使铁心柱之间的磁路闭合。在铁心柱与铁轭组合成整个铁心时,多采用交叠式装配,使各层的接缝不在同一地点,这样能减少励磁电流,但缺点是装配复杂,费工费时。在一般变压器中,铁心柱截面采用外接圆的阶梯形。只有当变压器容量很小时才采用方形。交流磁通在铁心中会引起涡流损耗和磁滞损耗,使铁心发热。在大容量变压器的铁心中,往往设置油道。铁心浸在变压器油中,当油从油道中流过时,可将铁心中的热量带走。
(二)绕组
绕组是变压器的电路部分,用来传输电能,一般分为高压绕组和低压绕组。接在较高电压上的绕组称为高压绕组;接在较低电压上的绕组称为低压绕组。从能量的变换传递来说,接在电源上,从电源吸收电能的绕组称为原边绕组(又称一次绕组或初级绕组);与负载连接,给负载输送电能的绕组称副边绕组(又称二次绕组或次级绕组)。绕组一般是用绝缘的铜线绕制而成。高压绕组的匝数多、导线横截面小;低压绕组的匝数少、导线横截面大。为了保证变压器能够安全可靠的运行以及有足够的使用寿命,对绕组的电气性能、耐热性能和机械强度都有一定的要求。绕组是按照一定规律连接起来的若干个线圈的组合。根据高压绕组和低压绕组相互位置的不同,绕组结构型式可分为同心式和交叠式两种。同心式绕组是将高压绕组和低压绕组同心地套装在铁心柱上。为了绝缘方便,低压绕组紧靠着铁心,高压绕组则套装在低压绕组的外面,两个绕组之间留有油道。油道一是作为绕组间的绝缘间隙;二是作为散热通道,使油从油道中流过冷却绕组。在单相变压器中,高、低压绕组均分为两部分,分别套装在两铁心柱上,这两部分可以串联或并联;在三相变压器中属于同一相的高、低压绕组全部套装在同一铁心柱上。同心式绕组的结构简单、制造方便,心式变压器一般都采用这种结构。交叠式绕组是将高压绕组和低压绕组分成若干线饼,沿着铁心柱交替排列而构成。为了便于绝缘和散热,高压绕组与低压绕组之间留有油道并且在最上层和最下层靠近铁轭处安放低压绕组。交叠式绕组的机械强度高,引线方便,壳式变压器一般采用这种结构。
(三)油箱及附件
1、油箱:油箱就是油浸式变压器的外壳。变压器在运行中绕组和铁心会产生热量,为了迅速将热量散发到周围空气中去,可采用增加散热面积的方法。变压器油箱的结构型式主要有平板式、管式等。对容量较大的变压器,采用在油箱壁的外侧装有散热管的管式油箱来增加散热面积,当油受热膨胀时,箱内的热油上升到油箱的上部,经散热管冷却后的油下降到油箱的底部,形成自然循环,把热量散发到周围空气中。对大容量变压器,还可采用强迫冷却的方法,如用风扇吹冷变压器等以提高散热效果。变压器油由高、低压绕组套装在铁心上总称为器身,器身放在油箱中,油箱中充以变压器油。
2、变压器油:变压器油是一种矿物油,具有很好的绝缘性能。变压器油起两个作用:①在变压器绕组与绕组、绕组与铁心及油箱之间起绝缘作用,提高绕组的绝缘强度。因为油的绝缘性能比空气好。②变压器油受热后产生对流,对变压器铁心和绕组起散热作用,因为通过油受热后的对流作用,可以将绕组及铁心的热量带到油箱壁,再由油箱壁散发到空气中去。对变压器油的要求是:介质强度高;着火点高;粘度小;水分和杂质含量尽可能少。
3、储油柜:变压器油受热后要膨胀,因此油箱不能密封。为了减小油与空气的接触面积,变压器安装有储油柜。储油柜固定在油箱顶上并用管子与油箱直接连通,储油柜的上部有加油栓,可以向变压器内补油,油箱的下部有放油活门,可以排放变压器油。储油柜使油箱内部与外界空气隔绝,减少了油氧化及吸收水分的面积。储油柜内的油面高度被控制在一定范围内,当油受热膨胀时,一部分油被挤入储油柜中使油面升高,而油遇冷收缩时,这部分油再流回油箱使油面降低。储油柜的大小应能满足变压器在各种可能的运行温度下,油面的升降总是能保持在储油柜的范围内。储油柜的一侧有油位计,可查看油面高度的变化。另外,储油柜上还装有吸湿器,它是一种空气过滤装置,外部空气经过吸湿器干燥后才能进人储油柜,从而使油箱中的油不易变质损坏。
4、气体继电器(瓦斯继电器):装在变压器的油箱和储油柜间的管道中,主要保护装置。内部有一个带有水银开关的浮筒和一块能带动水银开关的挡板。当变压器发生故障,产生的气体聚集在气体继电器上部,油面下降,浮筒下沉,接通水银开关而发出信号;当变压器发生严重故障,油流冲破挡板,挡板偏转时带动一套机构使另一水银开关接通,发出信号并跳闸,切除变压器的电源。
5、安全气道(防爆管):大容量变压器的油箱盖上还装有安全气道,它是一个长的钢筒,下面与油箱相通,上端装有防爆膜。当变压器内部发生严重故障产生大量气体时,油箱内部压力迅速升高而冲破安全气道上的防爆膜,喷出气体,消除压力,以免产生重大事故。
6、分接开关:在电力系统,为了使变压器的输出电压控制在允许变化的范围内,变压器的原边绕组匝数要求在一定范围内调节,因而原绕组一般备有抽头,称为分接头。利用开关与不同接头连接,可改变原绕组的匝数,达到调节电压的目的。分接开关分为有载调压分接开关和无载调压分接开关。
7、绝缘套管:装在变压器的油箱盖上作用是把线圈引线端头从油箱中引出,并使引线与油箱绝缘。电压低于1KV采用瓷质绝缘套管,电压在10-35KV采用充气或充油套管,电压高于110KV采用电容式套管。
8、测温装置:监测变压器的油面温度。小型的油浸式变压器用水银温度计,较大的变压器用压力式温度计。
1.按功能分类。变压器按功能可分为普通电力变压器(如配电变压器、输电变压器等)和特种变压器(如试验变压器、电炉变压器、整流变压器、电焊变压器、各类调压器等)。
2.按相数分类。变压器按相数可分为单相变压器、三相变压器和多相变压器(如六相整流用变压器)。我国电力系统中用的电力变压器大多为三相变压器。若三相变压器容量超大,太过笨重,从制造厂到安装地点的运输过程中,受运输条件限制,需降低变压器的尺寸及质量时,则可以考虑将三个完全相同的单相变压器的绕组按一定的方式作三相连接组成三相变压器组,如500kV电压等级的变压器大都采用三相变压器组,其三相磁路是独立的,各相主磁通以各自铁芯作为磁路。三相变压器较之于同容量的三相变压器组,其铁磁材料消耗少,运行电能损耗少,且占地面积小,因此在条件允许的情况下应优先采用三相变压器。
3.按调压方式分类。变压器按调压方式可分为无载调压变压器和有载调压变压器。无载调压变压器必须在停电的情况下才能进行分接头的切换,其调压装置结构较为简单。有载调压变压器则可以在不停电的情况下实现分接头的切换,其调压装置结构相对复杂,造价高,对检修维护的要求也较高。
4.按绕组个数分类。变压器按绕组的个数可分为双绕组变压器、三绕组变压器、自耦变压器和多绕组变压器。近年来三绕组变压器在电力系统中应用越来越多,大多用于需要三种不同电压等级的场合。采用一台三绕组变压器比采用两台双绕组变压器,可以节省材料和占地面积,减少附属设备,提高运行效率,维修也方便。只有当某电压等级传输容量很小,三个电压等级之间分别使用多台小容量的双绕组变压器可以使总容量显著减少时,才考虑使用双绕组变压器。三绕组变压器的高压、中压和低压三个绕组,通常套在一个铁芯柱上。由于绝缘结构的要求,高压绕组常套在最外面。由于升压变压器的功率主要由低压侧向高压侧和中压侧传递,所以其低压绕组常套在高、中压绕组之间。这样一来,升压变压器的高压绕组在最外面,低压绕组居中,中压绕组最靠近铁芯。对于降压变压器,绕组排列则采用高压绕组在最外面、中压绕组居中、低压绕组最靠近铁芯的方式,以降低绝缘费用。
5.按绝缘及冷却方式分类。变压器按绝缘及冷却方式可分为油浸式、干式和气体绝缘式等。其中油浸式变压器,又有油浸自冷式、油浸风冷式、油浸水冷式和强迫油循环冷却式等。由于油浸式电力变压器具有散热好、损耗低、容量大、价格低等优点,所以获得了广泛应用。
6.按铁芯结构分类。变压器按铁芯结构可分为芯式变压器和壳式变压器。
7.按容量大小分类。变压器按容量大小可分为小型变压器(10~630kVA)、中型变压器(800~6300kVA)、大型变压器(8000~63000kVA)、特大型变压器(90000kVA以上)。
8.按中性点绝缘方式分类。变压器按中性点绝缘方式可分为全绝缘变压器和分级绝缘变压器。所谓全绝缘是指星形接线变压器中性点的绝缘水平与三相出线的绝缘水平相同,例如60kV及以下电压等级的变压器中性点绝缘即采用这种方式。所谓分级绝缘是指中性点的绝缘水平低于三相出线的绝缘水平,例如110kV电压等级的变压器中性点采用35kV的绝缘水平,220kV电压等级的变压器中性点采用110kV的绝缘水平。采用分级绝缘后,因变压器内绝缘的尺寸缩小,变压器的尺寸可以相应地缩小,造价也降低很多。
工作频率
变压器铁芯损耗与频率关系很大,故应根据使用频率来设计和使用,这种频率称工作频率。
额定功率
在规定的频率和电压下,变压器能长期工作而不超过规定温升的输出功率。
额定电压
指在变压器的线圈上所允许施加的电压,工作时不得大于规定值。
电压比
指变压器初级电压和次级电压的比值,有空载电压比和负载电压比的区别。
空载电流
变压器次级开路时,初级仍有一定的电流,这部分电流称为空载电流。空载电流由磁化电流(产生磁通)和铁损电流(由铁芯损耗引起)组成。对于50Hz电源变压器而言,空载电流基本上等于磁化电流。
空载损耗
指变压器次级开路时,在初级测得功率损耗。主要损耗是铁芯损耗,其次是空载电流在初级线圈铜阻上产生的损耗(铜损),这部分损耗很小。
效率
指次级功率P2与初级功率P1比值的百分比。通常变压器的额定功率愈大,效率就愈高。
绝缘电阻
表示变压器各线圈之间、各线圈与铁芯之间的绝缘性能。绝缘电阻的高低与所使用的绝缘材料的性能、温度高低和潮湿程度有关.
单相变压器有两个线圈共同绕在一个闭合铁芯上,如右图所示,其中与电源相连的线圈称为原边线圈,与原边线圈相关的各量的标示符号均在右下角标注以角码1,如U1、I1等,与负载项链的线圈称为副边线圈,相关度额各量的标示符号均在右下角标注角码2,如U2、I2等。

此变压器工作原理为:当变压器的原绕组施以交变电压u1时,便在原绕组中产生一个交变电流i1,这个电流在铁芯中产生交变磁通Φ,因为原、副绕组在同一个铁芯上,所以当磁通Φ穿过副绕组时,便在变压器副边产生感应电动势e2(即变压电压)。变压器中感应电动势的大小是和线圈的匝数、磁通的大小及电源的频率成正比。
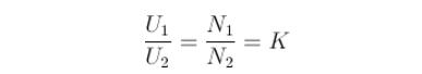
在一般的电力变压器中,绕组电阻压降很小,可以忽略不计,因此在原边绕组中可以认为电压U1=E1。由于副边绕组开路,电流I2=0,它的端电压U2与感应电动势E2相等,即U2=E2。所以由上面的原、副边感应电动势公式得:

公式中K为原边电压U1和副边电压U2之比,这个K的数值称为变压器的变压比。
由上是表明,变压器原、副边绕组的电压比等于原、副绕组的匝数比,因此如果要原、副边绕组有不同的电压,只要改变他们的匝数即可。当N1>N2时,K>1,变压器降压;当N1<N2时,K<1,变压器升压。
对于已经支撑的变压器而言,其K为定值,故副边电压和原边电压成正比,也就是说副边电压随着原边电压的升高而升高,降低而降低。但加载原边绕组两端的电压必须为额定值。因为,当外加电压比额定电压略有超过时,原边绕组中通过的电流将大大增加,如果把额定电压为220V的变压器错误的接到380V的线路上,则原绕组的电流将急剧增大,致使变压器烧毁。
把变压器的副边绕组负载接通后,在副边电路中有电流I2通过,此时,称变压器负载运行。由于副边绕组中电流I2也将在铁芯中产生磁通(即自感应现象),这种磁通对于原边电流所产生的磁通而言,是起去磁作用的,即铁芯中的磁通应为原边、副边绕组中电流产生的磁通的合成。但在外加电压U1和电源频率f不变的条件下,由近似公式:

上式中可以看出,合成磁通Φ应基本保持不变。因此,随着I2出现,原边绕组中通过的电流I1将增加,这样才能使得原绕组中的磁通以免体校副绕组的磁通,另一面维持铁芯中的合成磁通保持不变。由此可知,变压器原边电流I1的大小是由副边电流I2的大小来决定的。
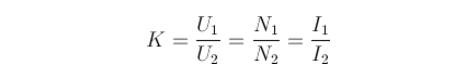
从能量观点来看,变压器原边线圈从电源吸取的功率P1应等于副边线圈的输出功率P2(忽略变压器的线圈电阻和磁通的传递损耗),即:
P1=P2或I1U1=I2U2
所以变压比:

由此可见,变压器原边、副边的电流比与他们的匝数比或电压比成反比。例如一台变压器的匝数N1<N2,是升压变压器,则电流I1>I2;如果绕组匝数N1>N2为降压变压器,则电流I2>I1。也就是说,电压高的一边电流小,而电压低的一边电流大。
生活中我们常常会用到变压器,电视机里,收录机里,空调里等电器里都会见到变压器。那么生活中常见的变压器有哪些,又是怎么用到的呢?看了这篇文章,我们多多少少有了一些了解。以下是对一些常用电压器的详细介绍:
打开收录机后盖,在线路板上就能看见几只银白色的正方体金属壳上边有个“一”字槽口,可用无感螺丝刀轻轻旋动,有红、白、绿等颜色,这就是中频变压器。晶体管收音机中采用的中频变压器有单调谐回路和双调谐回路两种。其外形和电路符号如图1所示。

中频变压器主要在收音机作选频、级间耦合用。选频就是指在许多的信号中,选出有用的信号频率,并把有用的信号传送出去。在调幅收音机中,就是通过中频变压器来选出465kHz的有用信号。并耦合到下一级去放大。同时,抑制465kHz以外的信号,使它无法传送到下一级中去。
在日常生活中,各种家用电器所使用的电压不同。家用电器都是使用低压直流电源工作的需要用电源变压器把220V交流市电变换成低压交流电,再通过二极管整流,电容器滤波,形成直流电供电器工作。而且在这个转变过程中,自身的能量损耗较小,从而达到了方便、经济的目的。电视机显像管需要上万伏的电压来工作,是由“行输出变压器”供给的。
针对电子设备的种类繁多,所需要的电压伏数和所要求输送的功率不同以及安装的位置和整机内部的空间大小小同等特点,变压器的种类和外形也相应不同。常见的电源变压器的外形如图2所示。

从图2中可看出,电源变压器有“口”字形、“日”字形、“C”字形等几种外形。即使同样的外形,其体积大小也不尽相同。如收音机中的电源变压器与电视机或功率放大机中的变压器相比.体积小很多。
开关电源变压器是彩色电视机开关稳压电源中的重要器件,它是—种脉冲变压器。其作用是进行功率传送,为彩电整机提供所需的电源电压以及实现输入与输出的可靠电隔离。常见开关电源变压器的外形和符号如图3所示。

输入、输出变压器的主要作用是:实现阻抗匹配;无畸变地传送信号电压和信号功率;对直流具有隔离作用。常见输入、输出变压器外形和符号如图4所示。

输入、输出变压器的用途是:输出变压器把晶体管收音机末级功率放大器的输出功率耦合到扬声器,使功率放大管的最佳负载和扬声器的音圈阻抗匹配。录音机和电视机中,功率管和扬声器的锅耦合也离不开它。输入变压器通常是低频电路中末前级和末级之间的耦合变压器。
(1)黑白电视机行输出变压器
行输出变压器简称FBT,有时也简称行逆程变压器。黑白电视机行输出变压器主要有“分离式”和“一体化”两种。分离式现在已经很少采用。
一体化式行输出变压器是将高低压线圈、高压整流管、塑料骨架、高压线圈及外壳等用无毒性、无腐蚀性、耐高温、高绝缘的化工材料封装在一起构成的。图5所示是一体化行输出变压器的外形结构图。

(2)彩色电视机行输出变压器(FDT)
彩色电视机均采用了多级一次升压式行输出变压器。这种行输出变压器的高压绕组分成多段绕制,并在各段之间分别接上高压整流二极管,其输出的直流超高压是经过多级整流,再串联在一起而产生的,因此被称为多级一次升压方式。由于这种行输出变压器的高压绕组、低压绕组和高压整流二极管均被封装在一个壳体内,所以又常被称作一体化行输出变压器。图6所示是一种实用的四级升压行输出变压器的结构和升比原理图。

一文简析变压器原理及接线组别
时间:2026-03-06
电脑辐射消除器
时间:2026-03-06
液晶显示器的液晶板类型
时间:2026-03-06
液晶显示器的屏幕尺寸
时间:2026-03-06
液晶显示器的接口类型
时间:2026-03-06
液晶显示器的灰阶响应时间
时间:2026-03-06
液晶显示器点距
时间:2026-03-06
液晶显示器的亮度
时间:2026-03-06
液晶显示器色彩数
时间:2026-03-06
液晶显示器的对比度
时间:2026-03-06
玻璃釉电容器的结构与特点
时间:2026-03-05
关于STM32WL LSE 添加反馈电阻后无法起振的...
时间:2026-03-05
电阻的标称阻值和允许偏差
时间:2026-03-05
使用过滤器电容器和诱导器来抑制受辐射的EM...
时间:2026-03-05
瓷片电容的意义以及电容抗扰电路设计与分析
时间:2026-03-05
电容电感区别在哪里?特性差异是什么?可编...
时间:2026-03-05
浅谈高压贴片电容分类与性能参数
时间:2026-03-05
聚四氟乙烯电容器的结构与特点
时间:2026-03-05
漆膜电容器的结构与特点
时间:2026-03-05
复合介质电容器的结构与特点
时间:2026-03-05