共模反馈环路稳定性分析及电路设计
全差分运放(fully differential operation)相对于单端输出电路来说,不仅输出摆幅更大、共模噪声抑制更好,还能消除高阶谐波失真。然而,在高增益运放中,输出共模电平对器件的特性和失配相当敏感,而且不能通过差模反馈来达到稳定。因此,必须额外引入负反馈机制,即共模反馈(CMFB)来稳定运放的共模输出电平。共模反馈的基本原理是先通过检测网络得到输出共模电平Vo_cn,然后将Vo_cn和一个参考电压Vcn(一般为电源电压的一半)相比较,再用得出的误差信号来调节运放的偏置电流,从而达到使输出共模信号稳定的目的。这种方式的设计要点如下:
(1)共模信号检测应具有线性特性;
(2)共模反馈环路的增益必须尽可能的高;
(3)反馈环路的带宽不能小于差模通路(在许多实际应用中,这两个带宽必须一致);
(4)确保共模环路稳定;
(5)应引入保护机制,以避免“锁死状态”的出现(输出保持在电源电压的情况)。
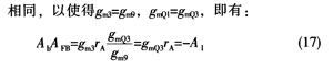
目前已经有了大量关于差模反馈环路稳定性的理论研究,而对于共模反馈环路的研究却很少。现有的共模反馈电路的设计更多的是通过实际经验、反复调试来得到稳定环路。笔者通过对最常用的、采用一级共模反馈的两级运放的环路进行稳定性分析,明确得出了其稳定条件,从而理论化了共模反馈电路的设计。然后基于这个条件,并采用Bi-CMOS工艺设计了一种低成本、高稳定、匹配好的共模反馈电路。整个运放可应用于一款高性能音频CLASS-D芯片。
1共模反馈环路分析及稳定条件
图1所示是全差分运放的一种典型应用电路。该电路中共有三个环路:差模环路、共模反馈外环(结构相同,由R1、R2及运放本身构成);以及共模反馈内环(运放内部自带)。只有在三个环路均稳定的条件下,该运放才能正常工作。须特别注意的是:对于两级运放,共模反馈外环是一个正反馈。因为信号经过运放内部的两次反相后。共模信号从Vo反馈到Vi,是同相的,但对差模信号则是反相的。实际应用中,运放的输入端可能出现非常大的共模电平(使它是瞬时的),这将导致输入对管关断,输出电平接近电源电压。由于此时差模回路中断,整个外环呈现共模正反馈。这就会使运放呈现“锁死状态”。由于这种情况很可能发生在电路的启动过程。因此,对于共模环路的稳定性研究很有必要。








相关热词:#共模
普乐特MAM-SWF自动水位控制保护器直接起动自...
时间:2026-03-07
任丘东方DZ15D型潜水电泵保护器应用电路图
时间:2026-03-07
双华JDB02配电流互感器的应用电路图
时间:2026-03-07
双华JDB02全压起动电路图
时间:2026-03-07
双华JDB92全压起动电路图
时间:2026-03-07
双华JDB92自动星.三角起动电路图
时间:2026-03-07
双华JDB92自耦减压起动电路图
时间:2026-03-07
双华JDB-LQ-TQ-Z二次电流起动电路图
时间:2026-03-07
双华JDB-LQ-TQ全压起动电路图
时间:2026-03-07
双华JDB-LQ-TY二次电流起动电路图
时间:2026-03-07
彩灯电路
时间:2026-03-05
三相异步电动机原理
时间:2026-03-04
三相异步电动机的七种调速方式
时间:2026-03-04
转角测量电路
时间:2026-03-05
经典的正弦波发生电路
时间:2026-03-05
电度表的工作原理
时间:2026-03-04
电风扇红外遥控器2
时间:2026-03-04
电动机单线远程正反转控制电路图
时间:2026-03-04
三相异步电动机的拆装详讲
时间:2026-03-04
USB转232电路图
时间:2026-03-04