当前位置:首页 > 电子元件 > 正文

MOSFET电路栅源极GS之间并联电容后,MOS管为什么会炸管?原因分析

来源:网络  发布者:电工基础  发布时间:2026-03-09 17:09
Part 01 前言 上一篇文章我们介绍了在进行MOSFET相关的电路设计时,可能会遇到MOSFET误导通的问题,为了解决此问题,我们提出了两种方法,一种是增大MOSFET栅极串联电阻的阻值,另外一种是在MOSFET栅-源极之间

Part 01

前言

上一篇文章我们介绍了在进行MOSFET相关的电路设计时,可能会遇到MOSFET误导通的问题,为了解决此问题,我们提出了两种方法,一种是增大MOSFET栅极串联电阻的阻值,另外一种是在MOSFET栅-源极之间并联一个电容,有读者在评论区说如果在栅-源极并联一个电容,MOSFET可能会出现炸管的问题?那么在MOSFET栅-源极并联电容和MOSFET炸管是否真的有联系?内在的机制又是什么?如何解决?今天我们就详细分析一下。

MOSFET电路栅源极GS之间并联电容后,MOS管为什么会炸管?原因分析

Part 02

原因分析

在硬件电路设计中,电子元器件经常会出现EOS损坏,什么是EOS损坏呢?EOS对应的英文名称是Electrical Overstress,也就是电气过应力,指的是元器件因受到超过其额定极限的电应力,比如电压,电流,温度而损坏,这也是硬件工程师在售后件分析中的基本分析方向。

回到我们今天的主角MOSFET,MOSFET炸管也有三大原因,电压,电流,温度,比如MOSFET漏源极两端的电压超过了最大极限值,或者MOSFET的漏源极电流超过了最大极限值,或者MOSFET的温度超出了最大结温,这些参数限值我们都可以在规格书中查阅:

MOSFET电路栅源极GS之间并联电容后,MOS管为什么会炸管?原因分析

对MOSFET而言,如果在MOSFET栅-源极之间并联一个电容,不会导致MOSFET漏源极过压,也不会导致漏源极电流过流,那导致MOSFET炸管的原因大概率就是过温了。那电容是如何导致MOSFET过温的呢?

Part 03

GS并联电容如何导致MOS过温炸管?

MOSFET工作就会产生损耗,MOSFET的功耗有两大部分,导通损耗,开关损耗,导通损耗是指MOSFET在“导通”状态,即栅极电压大于MOSFET平台电压,此时MOSFET完全导通下产生的损耗。导通时,漏极和源极之间存在一个小电阻,称为导通电阻RDS(on),当电流流过时产生的功耗。

导通损耗Pcon主要与MOSFET的导通电阻有关:

MOSFET电路栅源极GS之间并联电容后,MOS管为什么会炸管?原因分析

通过上面的公式可以得出以下结论:

导通电阻越大(导通电阻随温度升高而增加),导通损耗越高。

负载电流越大,导通损耗越高。

在MOSFET栅-源极之间并联一个电容不会影响负载电流和导通电阻。

开关损耗是MOSFET在开启和关断过程中产生的损耗。在每次开关时,MOSFET从导通到截止或从截止到导通的过程中,漏极电流和漏极-源极电压并非瞬间达到目标状态,而是有一个渐变过程。在这个过程中,电压和电流同时存在,导致功耗。

看下图就能明白了,由于MOS存在寄生电容,导致MOSFET存在米勒效应,在t1时间段内,Vds不变,Id增加,对应的功耗为蓝色区域,在t2时间段内,Vds减小,Id基本不变(实际会缓慢增加),对应的功耗为蓝色区域。

MOSFET电路栅源极GS之间并联电容后,MOS管为什么会炸管?原因分析

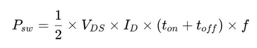
开关损耗Psw的近似公式为:

MOSFET电路栅源极GS之间并联电容后,MOS管为什么会炸管?原因分析

Vds是漏-源电压。

Id是漏极电流。

ton和toff分别是MOSFET的开通时间和关断时间(ton=t1+t2)。

f是开关频率。

在MOSFET栅-源极之间并联一个电容,由于电容充电需要时间,进而会增加MOSFET的开通时间和关断时间,从而增大开通和关断损耗,MOSFET的温升=损耗*热阻,如果电容容值过大就会导致MOSFET炸管。

如何计算并联电容导致MOSFET开通时间和关断时间的变化呢?我们可以基于电容充电的计算模型,把驱动MOSFET开启,看作是对MOSFET栅源极电容Cgs,栅漏极电容Cgd充电,计算将电容充满电所需的时间即可,具体的推导后续重开文章分析,本文着重分析栅-源极之间并联一个电容和MOSFET炸管内在机理。